Pohybová a polohová energie
Potencionální energie je...
- energie ukrytá v poloze tělesa
- energie ukrytá v pohybujícím se tělese
- energie ukrytá uvnitř tělesa
- celková energie tělesa
Jednotkou energie je...
- J
- E
- W
- v
Schopnost tělesa konat práci znamená že,...
- těleso má energii
- zanedbáváme tření
- těleso má velký výkon
- těleso má sílu
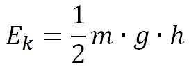
Značkou pohybové energie je...
- Ek
- Ep
- J
- m/s
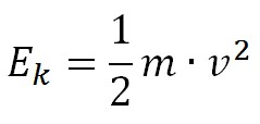
Vztah pro pohybovou energii je...
-

-

-

-

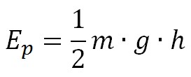
Vztah pro polohovou energii je...
-

-

-

-

Velikost polohové energie tělesa v gravitačním poli Země závisí na...
- hmotnosti, výšce
- rychlosti, výšce
- výšce, velikosti tělesa
- velikosti tělesa, hmotnosti
Velikost pohybové energie tělesa závisí na...
- hmotnosti, rychlosti
- výšce, hmotnosti
- velikosti tělesa, hmotnosti
- výšce, rychlosti
Pustíme-li těleso z větší výšky, pak má těsně před dopadem vzhledem k předchozímu pokusu...
- větší pohybovou energii
- menší pohybovou energii
- stále stejnou pohybovou energii
- nulovou pohybovou energii
Kinetickou energií rozumíme...
- energii ukrytou v pohybu tělesa
- energii ukrytou v poloze tělesa
- energii ukrytou v pružném tělese
- celkovou energii tělesa
Zákon zachování energie nám říká, že...
- energie se nedá vyrobit, zničit, může se jen měnit z jednoho druhu na druhý
- energie se dá lehce vyrobit a zničit, nemůže se měnit z jednoho druhu na druhý
- energie se nemůže měnit z jednoho druhu na druhý
- energie se dá vyrobit z ničeho a můžeme ji měnit z jednoho druhu na druhý
Jak se změní polohová energie tělesa o hmotnosti 10 kg, které zvedneme do výšky 10 cm?
- zvětší se o 10 J
- zmenší se o 100 J
- nezmění se
- zvětší se o 1000 J
Pohybová energie tělesa o hmotnosti 200 g a rychlosti 1 m/s je...
- 0,1 J
- 200 J
- 0,2 J
- 100 J
Skákající pružné těleso má v nejvyšším bodě...
- největší polohovou energii
- největší pohybovou energii
- nejmenší polohovou energii
- nejmenší celkovou energii
Když pohybující se těleso dvakrát zvětší rychlost, pak se...
- čtyřikrát zvětší pohybová energie
- dvakrát zvětší pohybová energie
- dvakrát zmenší pohybová energie
- pohybová energie nezmění
Jakou celkovou energii má těleso o hmotnosti 1 kg ve výšce 1 m nad zemí, když má rychlost 10 m/s?
- 60 J
- 10 J
- 20 J
- nulovou
Celková energie tělesa v izolované soustavě se zanedbáním tření v gravitačním poli Země se určí vztahem...
- Ep + Ek
- Ep - Ek
- Ek - Ep
- je vždy nulová
Těleso, které se pohybuje větší rychlostí má...
- větší pohybovou energii
- větší polohovou energii
- menší pohybovou energii
- menší polohovou energii
Na zastavení tělesa s větší hmotností musíme vynaložit...
- větší energii než na zastavení tělesa s menší hmotností
- menší energii než na zastavení tělesa s menší hmotností
- stejnou energii jako na zastavení tělesa s menší hmotností
- menší práci než na zastavení tělesa s menší hmotnosti
Na zastavení tělesa s menší rychlostí musíme vynaložit...
- menší energii než na zastavení tělesa s větší rychlostí
- větší energii než na zastavení tělesa s větší rychlostí
- stejnou energii jako na zastavení tělesa s větší rychlostí
- větší práci než na zastavení tělesa s větší rychlostí